Analyzing Structured Populations using BEAST 2
Tim Vaughan
Stadler Group, D-BSSE, ETH Zürich
Český Krumlov Workshop on Population and Speciation Genomics
24th January, 2018

Phylogeographic inference

Usual data:

Common questions:

Bayesian Phylogeographic Inference


The usual phylogenetic posterior:

$$P(T,\mu,\theta|A) = \frac{1}{P(A)} P(A|T,\mu)P(T|\theta)P(\mu)P(\theta)$$
  • $P(A|T,\mu)$ is the tree likelihood
  • $P(T|\theta)$ is the tree prior
  • $P(\mu)$ and $P(\theta)$ are the parameter priors


Where does geography fit in?

Bayesian Phylogeographic Inference

Currently two main classes of models:

  1. Mugration models:
    • Given tree and root location, what is the probability of sample locations?
    • Exist in contiuous and discrete forms.
    • Developed by Phillipe Lemey et al. (PLoS Comp Biol 2009, MBE 2010)
  2. Structured population models:
    • given sequences and locations, what is the probability of (location-coloured) tree?
    • Currently mostly discrete.
    • Earliest examples by Hudson (1990) and Notohara (1990).

Mugration models

Discrete mugration model


Recap: Bayesian Phylogenetic Inference



The usual phylogenetic posterior is:

$$P(T,\mu,\theta|A,L) = \frac{1}{P(A)} P(A|T,\mu) P(T|\theta)P(\mu)P(\theta)$$

where

  • $A$ is a sequence alignment,
  • $T$ is the tree.

Inference: Modified tree likelihood

The standard phylogenetic posterior is modified:

\begin{align} P(T,\mu,\theta|A,L) =& \frac{1}{P(A)P(L)} P(A|T,\mu)P(L|T,M)\\ &\times P(T|\theta)P(\mu)P(\theta) \end{align}

where

  • $L$ are the sampled locations, and
  • $M$ is a matrix specifying the random walk.

Note the similarity between the two tree likelihood terms.

Mugration models treat location as just another trait/character.

Sampling assumption


A very important assumption made by the mugration model posterior:

Samples are assumed to be collected in a manner that is blind to their location.
  • Mugration models use sample location as data.
  • Just as for genetic data, non-random sampling procedures will bias results.

Equivalent population genetic model

A helpful way to visualise the mugration model is to imagine its effect on the population as a whole:

  • Mugration => stochastically varying subpopulation sizes.
  • A "neutral" model.

Continuous extensions

Use a contiunous diffusion process in place of the discrete random walk:

Lemey et al., MBE, 2010
Bouckaert, PeerJ, 2016

Essential features of mugration model remain, including sensitivity to sampling.

Structured population models

Structured Wright-Fisher Model

Imagine two sub-populations connected by weak migration:
  • Model as described by Notohara, 1990.
  • Island populations are held constant by respective carrying capacities.

Structured Coalescent

  • Backwards-in-time process that generates both the tree and ancestral locations.
  • Parameterized by migration rates and (sub)population sizes.

Structured Coalescent

  • Coalescence rate in deme $i$: $$\binom{k_i}{2}\frac{1}{N_ig}$$
  • Migration rate (backward) $i\rightarrow j$: $$k_i m_{ij}$$

Note that $m_{ij} = q_{ji}\frac{N_j}{N_i}$ where $q_{ji}$ is the forward-time migration rate from $j$ to $i$.

Inference: Modified tree prior

Again, the standard phylogenetic posterior is modified:

\begin{align} P(T,\mu,\theta|A,L) &= \frac{1}{P(A)} P(A|T,\mu)\\ &\times P(T,C|\vec{N},\bar{M},L)P(\mu)P(\theta) \end{align}

where

  • $L$ are the sampled locations,
  • $\bar{M}$ is the migration rate matrix, and
  • $C$ are the ancestral locations on the tree.

The sample locations and SC model affect the tree prior.

The shape of the tree is affected by structure.

Sampling assumption

  • The coalescent tree prior is explicitly conditioned on the sample times
  • Similarly, the structured coalescent tree prior is conditioned on sample locations.
The strucured coalescent makes no assumption about the manner in which samples are collected with respect to location.
  • Sample distribution not used as data.
  • Uneven sampling can reduce inference power, but will not bias results!

Birth-death Migration Model

  • Introduced by Kühnert et al. (MBE 2016).
  • A birth-death model of population dynamics in which individuals are permitted to change location due to discrete migration events.
  • Migrations may be correlated with births, but not deaths.
  • Sampling process explicitly modelled.
  • Birth and death rates may be location-dependent: not "neutral"! (Tree shape affected by structure.)
  • Inference is performed using modified tree prior.

Phylogeographic inference in BEAST 2

Discrete Phylogeography

Required packages:

  • BEAST_CLASSIC

  • Very well supported, BEAUti analysis setup.
  • Tutorial on beast2.org/tutorials.
  • Very fast, allows inference of which migrations are necessary to describe data.
  • Prone to sampling biases.

Discrete Phylogeography

DensiTree output:

Continuous Spherical Phylogeography

Required packages:

  • GEO_SPHERE

  • Also well supported and BEAUti analysis setup.
  • Tutorial on beast2.org/tutorials.
  • Output can be summarized using Spread and visualized using Google Earth.
  • Prone to sampling biases.

Continuous Spherical Phylogeography

Google Earth visualization example:

Structured Coalescent (Full model)

Required packages:

  • MultiTypeTree

  • No built-in assumptions regarding sampling procedure.
  • Much more computationally demanding than mugration models, only smaller numbers of demes are feasible.

Structured Coalescent (Full model)

Structured Coalescent (Approximation: BASTA)

De Maio et al., PLoS Genetics, 2015

Required packages:

  • BASTA

  • Approximation which cuts down on the computational demands of the SC model, allowing many more locations to be considered.
  • Produces very similar results to MultiTypeTree, but only samples internal node locations (not mid-edge locations).
  • XML set-up tutorial at gihub.com/tgvaughan/MultiTypeTree/wiki.

Structured Coalescent (Approximation: BASTA)

Comparisson between mugration implementation and full and approx. SC models.

De Maio et al., PLoS Genetics, 2015

Structured Coalescent (Approximation: BASTA)

De Maio et al., PLoS Genetics, 2015

Structured Coalescent (Approximation: MASCOT)

Müller et al., MBE, 2017

Required packages:

  • MASCOT
  • Numerically integrates over ancestral locations.
  • Doing this exactly is possible, but solving requires $D^n$ ODEs.
  • MASCOT uses an approximation that instead requires $D\times n$ ODEs.
  • Better than BASTA at accounting for the interaction between lineage states.

Structured Coalescent (Approximation: MASCOT)

Müller et al., MBE, 2017

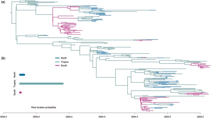
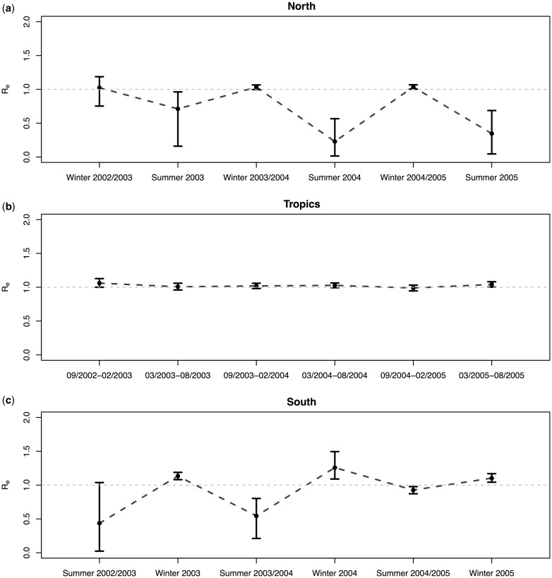
Birth-death Migration Model

Required packages:

  • MASTER
  • MultiTypeTree
  • SA

Birth-death Migration Model

Time and space-dependent birth/death parameter estimation!

Kühnert et al., MBE, 2016

Summary

  • Bayesian phylogeographic methods provide a systematic way of combining geographic and genetic data.
  • BEAST 2 provides two main routes:
    • Mugration models
    • Structured population models
  • Mugration models tend to allow computationally efficient inference under a neutrality assumption, but are subject to sampling biases.
  • Structured population models may be more closely tied to the biology and don't necessarily depend on the samplling process.

Tutorial 1: MultiTypeTree


  1. Open the link for the first of the Structured Coalescent tutorials (MultiTypeTree) from the BEAST 2 Český Krumlov page at beast2.org/ceskykrumlov2018.
  2. Follow the instructions.
  3. I will wrap up the tutorial at approximately 9 pm.

Tutorial 2: MASCOT


  1. Open the link for the second of the Structured Coalescent tutorials (MASCOT) from the BEAST 2 Český Krumlov page at beast2.org/ceskykrumlov2018.
  2. Follow the instructions.
  3. I will wrap up the tutorial at approximately 20 minutes before the end of the session.